
Zajedno je 100 najdobitaša iz Međimurske i Varaždinske županije ostvarilo - 1,1 milijardu kuna dobiti odnosno profita u 2017. godini! Prosječna plaća nešto više od 19.000 radnika u tim firmama je 5.484 kune...
Bisnode je u suradnji s Finom izradio za eMedjimurje.hr i
Varazdinski.hr bazu podataka s 50 najdobitaša u 2017.
godini Međimurske i Varaždinske županije.
Dobit je samo jedna od stavki uspješnosti poslovanja poduzeća, a
prema tome kriteriju poredali smo po pedeset tvrtki iz ove dvije
županije. Zajedno je 100 najdobitaša iz Međimurske i Varaždinske
županije ostvarilo – 1,1 milijardu kuna dobiti odnosno profita u
2017. godini.
Prosječna plaća nešto više od 19.000 radnika u tim tvrtkama u
Međimurskoj i Varaždinskoj županiji je 5.484 kune, što je i dalje
ispod državnog prosjeka od 6,2 tisuće kuna u 2017. godini.
Na popisu od 50 tvrtki prevladavaju tekstilno/obućarsko/kožarske
tvrtke i metalske tvrtke, a vrijedi istaknuti da je većina tvrtki
s TOP 50 popisa u stranom vlasništvu, od čega priličan broj
‘greenfield’ investicija u Varaždinsku županiju.
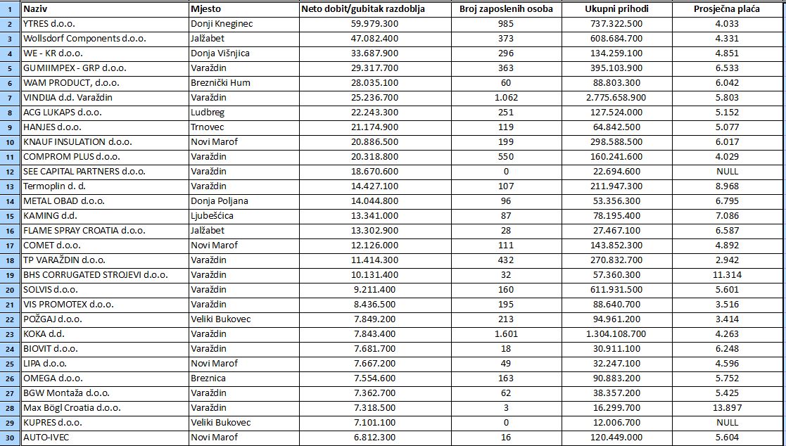
Na prvom mjestu se ove godine nalazi Ytres,
tvornica za proizvodnju čarapa u sastavu Calzedonia grupe u
Donjem Knegincu, s 59,98 milijuna kuna dobiti. Ukupan promet
Ytresa je bio čak 737 milijuna kuna, a radi se i o jednoj od
tvrtki koja najviše zapošaljava, čak 985 radnika. Prosječna plaća
je 4.033 kn.
Slijedi ga Wollsdorf, još jedna greenfield
investicija otvorena 2015. godine u Poslovnoj zoni Jalžabet.
Tvrtka je to koja se bavi proizvodnjom kože, uglavnom za
autoindustriju. Prosječna plaća u ovoj uspješnoj tvrtki je 4.331
kuna. Na treće mjesto smjestila se tvrtka We-Kr,
iz Donje Višnjice, s 34 milijuna kuna dobiti. Radi se o tvrtki
koja se bavi su partneri neke od najvećih automobilskih tvrtki na
svijetu – Audi, BMW, MAN, Scania, a koja se bavi strojarstvom i
montažom u metalskoj industriji, uglavnom limsistemima i provode
puno vremena u inozemstvu na montažama.
Četrvto mjesto zauzela je tvrtka Gumiimpex-GRP,
u vlasništvu obitelji Kirić, jedna od ‘veterana’
poduzetništva u Varaždinu. Počeli od male vulkanizerske
radionice, svoj su posao stalno modernizirali, da bi danas stigli
do skoro 30 milijuna kuna godišnje dobiti, uz prosječnu plaću od
6,5 tisuća kuna, što ih čini jednim od najpoželjnijih poslodavaca
u regiji.
Peto mjesto drži još jedna tvrtka iz metalne branše, Wam
product, dio talijanske WAM grupe, iz Brezničkog Huma,
tvrtka koja je jedan od lidera u svojoj domeni proizvodnje, a
čiji produkti se koriste u raznim industrijama, između ostalog i
u poljoprivredi.
Šesta je varaždinska Vindija, uz dobit od 25
milijuna kuna, ali i kao tvrtka s najvećim prihodom (prometom) od
2,7 milijuna kuha. U TOP 50 listi nalazi se i
Koka, još jedna tvrtka iz grupacije Vindija.
Ludbreški ACG Lukaps, od dolazaka indijskog
koncerta ACG Worldwide (2008. godine), nakon perioda
stabilizacije i ulaganja, posljednjih godina iz godine u godinu
napreduje, pe ja tako dobit za 2017. godinu 22 milijuna kuna.
Odlično je u 2017. godini poslovala još jedan uspješna tvrtka,
Hanjes d.o.o. iz Slobodne zone
Varaždin, tvrtka koja se snažno naslanja za razvoj i nove
tehnologije, a najviše su se speijalizirali za proizvodnju
tračnih dijelova, čiji najveći partner je Siemens.
Na devetom mjestu ne novomarofski Knauf
Insulation, s gotovo 21 milijun kuna dobiti, ali i
tvrtka prosječne plaće 6 tisuća kuna, već dugi niz godina jedan
od najpoželjnijih poslodavaca.
Deseto mjesto zaokružuje tvrtka Comprom Plus
d.o.o., još jedna tvrtka iz Calzedonia grupe, koja se
bavi proizvodnjom kupaćih kostima.
Na 12. mjestu se nalazi Termoplin, s dobiti od
14,4 milijuna kuna, gdje je prosječna plaća gotovo 9 tisuća
kuna. Vrijedi spomenuti i da je dobit od 7,3 milijuna ostvario
MaxBoegl, tvrtka u partnerstvu s gradom za
varaždinu Arenu.
Na TOP 50 popisu s visokom se plaćom, od čak 11.314 kuna ističe
tvrtka BHS Corrugated strojevi, još jedan od
‘stanara’ poslovne Zone Sjever. Vrijedi istaknuti i varaždinsku
Igeu (dio IN2 grupacije), uspješnu informatičku
tvrtku, gdje je prosječna plaća u 2017. godini bila 9,4 tisuće
kuna.
U Međimurskoj županiji vodeći je LPT ispred Muraplasta i
Tuble
Slični trendovi su i u Međimurskoj županiji, tamo ima nešto više
metalskih tvrtki na popisu, ali i tvrtki koje ‘izvoze’ radnike na
‘gast-arbajt’ u inozemstvo.
Vodeća tvrtka u Međimurskoj županiji je američki LPT iz
Preloga, s čak 80 milijuna dobiti, i tvrtka koja spada u
TOP poslodavce. U toj tvrtki radi 369 ljudi, a prosječna plaća
iznosi 6.475 kuna. 2017. godine imali su ukupne prihode od 453,6
milijuna kuna.
Drugi je kotoripski Muraplasta koji je ostvario
dobit nešto veću od 33 milijuna kuna. Tvrtka raste iz godine u
godinu, trenutno zapošljavaju 229 ljudi, a prosjećna plaća je
5.645 kuna.
Na trećem mjestu je Tubla, još jedna od
Calzedonijih proizvodnji. U toj tvrtki radi 655 ljudi, a
ostvarili su neto dobit od 32,7 milijuna kuna. Tu je prosječna
plaća 4.247 kuna.
Na četvrtom mjestu je čakovečki TMT, prvi od
‘metalaca’, s prihodima od 90,6 milijuna kuna i neto dobiti
od gotovo 27 milijuna kuna. U TOP 10 su još Midi
Ivanovec, Centrometal Macinec, Tvornica stočne
hrane Čakovec PIB Extra iz Štefanca i Tehnix iz Donjeg
Kraljevca.
Jedan od najuspješnijih trgovačkih lanaca u Hrvatskoj –
čakovečki METSS nalazi se na 11. mjestu. No, ova
čakovečka tvrtka zapošljava najviše ljudi u Međimurju, čak 779.
Imali su i najveće ukupne prihode u visini 472,8 milijuna kuna, a
neto dobit je iznosila 15,8 milijuna kuna.
50 najdobitaša u Međimurskoj županiji
50
najdobitaša u Varaždinskoj županiji
